
1. (4 pts) Show the biosynthetic origins of the compounds below by circling the original constituents:
Identify the isoprene units in the compound below.

Identify the acetate units in mevalonic acid below.
![]()
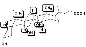
2. (4 pts) Place all the substituents of cholic acid properly on the chair forms. Circle all substituents that are added in axial positions.


3. (2 pts) Write the structure of a phospholipid made from one C-16 saturated fatty acid, one C-18 unsaturated fatty acid, 2-aminoethanol, glycerol, and phosphate.
plus other possibilities