
1. (3 pts) Write D-glucose in an open-chain Fischer projection, a Haworth projection, and its most stable chair form. The latter two structures should be in the beta-pyranose form.

2. (3 pts) Complete the following reactions by adding the missing products.

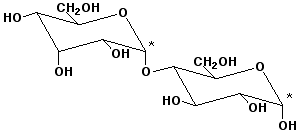
3. (4 pts) For the disaccharide shown below,
a) identify each anomeric carbon with *
b) identify each anomeric carbon as either alpha or beta
c) describe the connection between the two monosaccharide units.
d) Are either of the two monosaccharides D-glucose/? If not, describe each one relative to D-glucose.

Both anomeric carbons are alpha.
The connection is alpha 1 - 4.
D-Glucose is on the right, and the other sugar is the C-3 epimer of D-glucose.