
Carey, pages 934 - 938 & 965 - 971:
Problems 23.10 - 29
Problems 24.11 - 30
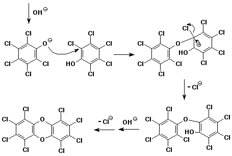
1. Pentachlorophenol (PCP) has been used as a wood preservative, but has the problem of generating polycyclic compounds (commonly called dioxins) that are toxic. Write a mechanism for the reaction below.

