
1. (20 points) Write accurate structures for the following, including stereochemistry:
a) linolenic acid ( 18:3 n-3 )
b) beta-D-galactopyranose ( galactose is the C-4 epimer of glucose )
(use a Haworth projection)
c) L-glyceraldehyde-3-phosphate at pH 9
d) methionine at pH 7
e) ADP at pH 7
2. (15 points) Complete each reaction by adding the missing part: either the starting materials, the necessary reagents and conditions, or the final major product. Include stereochemistry if it is specific.
a) 
b) 
c) 
d) 
e) 
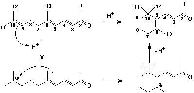
3. (15 points) Write a complete mechanism for the cyclization reaction shown below. Number all carbons (so that the ketone is C-2) to keep track of the positions in the starting compound and in the final product.
Show all steps and all resonance forms for any intermediates involved, and show electron-pushing arrows in each step.


4. (15 points) Show the products that would be expected from complete hydrolysis of the following compounds.
a) 
b) 
c) 
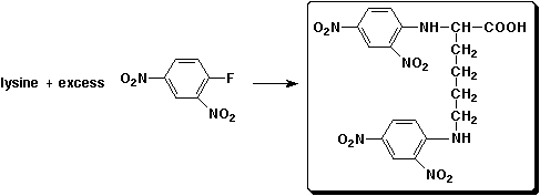
5. (11 points) Identify the unknown hexapeptide from the following data.
Complete hydrolysis gives equal amounts of Arg, Glu, Leu, Ser, Tyr, Val .
The hexapeptide is not cleaved by trypsin despite the presence of Arg .
The hexapeptide is cleaved by chymotrypsin to give the dipeptide Val Arg .
Treatment of the hexapeptide with Edmans reagent releases Ser followed by Glu .
Ser Glu Leu Tyr Val Arg
(9 points) Using only the amino acids in the above hexapeptide, illustrate specific examples of the following types of interactions.
a) electrostatic attraction
Glu --- Arg
b) H-bonding
Ser --- Tyr
(and many other possibilities)
c) hydrophobic interactions
Leu --- Val
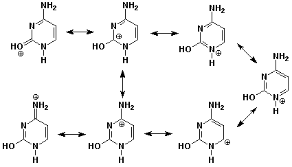
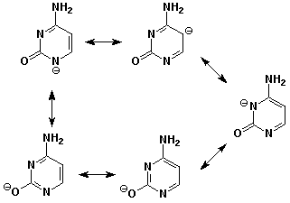
6. (15 points) Cytosine, shown below, can be converted into its enol (aromatic) form by acid catalysis via a delocalized cation intermediate or by base catalysis via a delocalized anion intermediate.
Write each of these intermediates and at least three good resonance forms for each one (there are a lot of them).
Acid (cation)

Base (anion)
